細胞治療のための分子特性解析

DNA配列の検証などの分子特性解析は、細胞治療の開発および製造において極めて重要です。これにより、遺伝子改変の特定、細胞の同定、潜在的な安全性リスクの評価が可能となり、最終的に治療の有効性と安全性が向上します。プロメガは、細胞治療の開発および製造プロセスで広く使用されている、使いやすい核酸抽出および解析ソリューションを幅広く提供しています。

核酸抽出の自動化にご興味がありますか?弊社の自動核酸精製装置Maxwell® Instrumentsの細胞治療分野での活用方法をご確認ください。

Learn More

細胞に正しいCAR配列が含まれているかを確認する

CAR-T細胞は、腫瘍抗原に特異的なキメラ抗原受容体(CAR)を発現させることで、がん細胞を標的として破壊するように遺伝子操作されたT細胞です。CAR-T製品が正しいCARを発現していることを確認することは、標的効果と患者の安全性を確保するうえで不可欠です。CAR-Tの特性解析および品質管理(QC)アッセイの一環として、CARトランスジーンのコピー数や配列の確認は、qPCRやサンガーシーケンシングによって行われることが一般的です。

プラスミドDNA配列の確認は、CAR-T細胞療法の開発における重要なステップです。当社のプラスミドDNAサンガーシーケンシングワークフローは、治療の完全性を保証し、有効性と安全性の両面を高めることができます。

プラスミドDNAサンガーシークエンスワークフロー資料DL

CAR-T細胞のCAR配列の確認とコピー数の測定の自動化ワークフロー

CAR-T細胞からのDNA精製の自動化

19600ta
19601ta
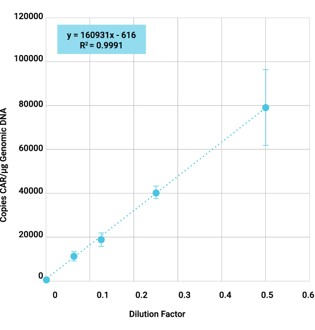
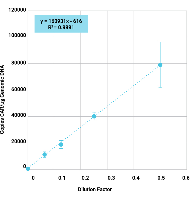
パネル(左):CAR-T細胞でのCAR DNAの検出の一方で、ネイティブT細胞では検出されていません。パネル(右):段階希釈CAR-T細胞からのCAR DNA検出。50,000細胞からMaxwell® RSC 48 Instrument専用キットMaxwell® RSC Cultured Cells DNA Kitを使用してDNAを精製した後、GoTaq® Probe qPCR Systemを使用して、二重qPCRを実施しました。二重精製および二重増幅による平均Cq値および標準偏差を示しました。
car-t-sequencing

CAR-T細胞でのCARコンストラクトのサンガーシークエンス 50,000個のCD19-CAR-T細胞からDNAを精製しました。ProDye® Terminator Sequencing SystemおよびSpectrum Compact CE Systemを使用して、コンストラクトの4つのオーバーラップするセクションにわたりアンプリコンを精製し、配列を決定しました。アセンブルされたコンティグのマップとコンストラクト全体のカバレッジを示しています。

完全なプロトコルとデータはアプリケーションノートをご確認ください。:Automated DNA Purification from CAR-T Cells

Maxwell®を使用した分子特性解析に関する文献

Maxwell®キットおよび機器を用いてDNA/RNAを精製し、分子特性解析を行った代表的な文献を参照:

Product Used Citation
Maxwell® RSC miRNA Plasma and Serum KitおよびMaxwell® RSC Instrumentを使用した、CAR-T細胞投与を受けた患者から採取した血漿からの循環mi RNAの精製。 De Matteis, S. et al. (2023) Peripheral blood cellular profile at pre-lymphodepletion is associated with CD19-targeted CAR-T cell-associated neurotoxicity. Front. Immunol. 13, 2022.

Maxwell® RSC simplyRNA Blood KitおよびMaxwell® RSC Instrumentを使用した、qPCRのための腫瘍細胞および線維芽細胞からのmRNA抽出。

Wagner, J. et al. (2021) Antitumor effects of CAR T cells redirected to the EDB splice variant of fibronectin. Cancer Immunol. Res. 9(3), 279–290.
Maxwell® RSC Whole Blood DNA Kitを用いた患者中のCAR-T細胞検出のためのPCRおよびdPCR用途のDNA精製 De la Iglesia-San Sabastian, I. et al. (2024) Digital PCR improves sensitivity and quantification in monitoring CAR-T cells in B cell lymphoma patients. Transplant. Cell. Ther. 30(3), 306.e1.
Maxwell® RSC simplyRNA Blood Kit and Maxwell® RSC Instrumentを使用した培養細胞株の単一細胞懸濁液および患者由来異種移植モデル組織サンプルからのmRNA抽出 Shaw, T.I. et al. (2024) Discovery of immunotherapy targets for pediatric solid and brain tumors by exon-level expression. Nat. Commun. 15, 3732.
Maxwell® RSC RNA FFPE Kitを用いてFFPE腫瘍サンプルからRNAを精製し、腫瘍関連抗原特異的T細胞応答を同定 Thelen, M. et al. (2022) Immune responses against shared antigens are common in esophago-gastric cancer and can be enhanced using CD40-activated B cells. J. Immunother. Cancer 10(12), e005200.

現在使用中の細胞は親細胞と同じですか?

正しい細胞が使用または製造されていることを確認するために、細胞の同一性検査は極めて重要であり、これは治療の安全性および有効性のいずれにも不可欠です。 ショートタンデムリピート(STR)配列はドナーごとに固有であるため、STRプロファイルは各ドナー細胞の識別に用いることができる正確な手法です。

プロメガのワークフローでは GenePrint® 24 System と Spectrum Compact CE System を使用し、CAR-T細胞の開発および製造に使用される細胞の同一性評価や確認に非常に有効なSTR解析を提供しています。

Download Workflow for CAR-T Authentication

DNAフィンガープリンティングによるCAR-Tドナー認証のワークフロー

To learn more about CAR-T QC with Sanger sequencing and STR analysis down load our poster.

CAR-T Donor Authentication
CAR-T Donor Authentication using GenePrint® 24 System
Marker Donor 2006 Donor 7001
T cells CAR-T T cells CAR-T
AMEL XY XY XX XX
D3S1358 15 15 17,18 17,18
D1S1656 14,16 14,16 15,17 15,17
D2S441 10 10 10,11 10,11
D10S1248 13,14 13,14 13,14 13,14
D13S317 12,14 12,14 12,13 12,13
Penta E 12,16 12,16 10,12 10,12
D16S539 11,12 11,12 11,12 11,12
D18S51 12 12 12,16 12,16
D2S1338 22,23 22,23 16,17 16,17
CSF1PO 12 12 12 12
Penta D 13,14 13,14 9,13 9,13
TH01 6,9 6,9 8 8
vWA 18 18 16 16
D21S11 28,32.2 28,32.2 28,30 28,30
D7S820 12 12 8,12 8,12
D5S818 11 11 11,13 11,13
TPOX 8,11 8,11 8,9 8,9
DYS391 11 11 N/A N/A
D8S1179 14,15 14,15 12 12
D12S391 17,20 17,20 17,18 17,18
D19S433 13 13 14,16 14,16
FGA 19,26 19,26 24 24
D22S1045 15 15 14,15 14,15

未刺激T細胞および最終CAR-T製品をFTAカードにスポットし、GenePrint® 24 Systemによる直接増幅を行った後、Spectrum Compact CE Systemで解析した結果、ドナー内でのアレルコールは100%一致しました。


マイコプラズマやその他のコンタミネーションの確認

細胞治療製品におけるマイコプラズマの検出は非常に重要であり、コンタミネーションはこれらの治療法の安全性および有効性を損なう可能性があるため、厳格な規制要件により製品の純度および患者の安全性を確保するための厳密な検査が義務付けられています。

Maxwell® RSC および RSC 48 Instrumentsを用いた自動化ワークフローにより、組織培養細胞および培養上清中のマイコプラズマを10 CFU/mlという低濃度まで精製・検出可能です。

マイコプラズマ検出自動化プロトコルのダウンロード

マイコプラズマ検出ワークフロー

19602ta

Amplification of mycoplasma DNA purified from contaminated cell culture. Jurkat cell culture and CHO-K1 cell culture supernatant were spiked with 10—1,000CFU/ml of Mycoplasma fermentans. DNA from spiked cell culture and cell culture supernatant was purified with the Maxwell® RSC PureFood GMO and Authentication Kit in technical triplicate. Mycoplasma DNA was detected using the GoTaq® qPCR System.